Vidert
Navigation
FeedTrendingExploreAbout
Recent
No recent viderts
Viderts
CreateManage
M

Math

Mathematics education and exploration

Euler's Formula

Entity

6 videos from 3 channels

A formula in complex analysis that establishes the fundamental relationship between trigonometric functions and complex exponentials, attributed to mathematician Leonhard Euler.

LatestAll TimeTop Rated
18:53

Accepting Complex Numbers: Hamilton vs Euler

https://bit.ly/PavelPatreon https://lem.ma/LA - Linear Algebra on Lemma http://bit.ly/ITCYTNew - Dr. Grinfeld's Tensor…

MathTheBeautiful
14:29

De Moivre's Formula for Complex Numbers: A Precursor to Euler's Formula

https://bit.ly/PavelPatreon https://lem.ma/LA - Linear Algebra on Lemma http://bit.ly/ITCYTNew - Dr. Grinfeld's Tensor…

MathTheBeautiful
20:11

Euler's Formula

https://bit.ly/PavelPatreon https://lem.ma/LA - Linear Algebra on Lemma http://bit.ly/ITCYTNew - Dr. Grinfeld's Tensor…

MathTheBeautiful
27:49

The Physics of Euler's Formula | Laplace Transform Prelude

The simple harmonic oscillator and the fundamental role of complex exponents for ODEs. Next chapter on the Laplace…

3Blue1Brown
1:46

The dynamics of e^(πi)

A fuller version of this explanation, also including the reason we care about complex exponents in the first place:…

3Blue1Brown
7:41

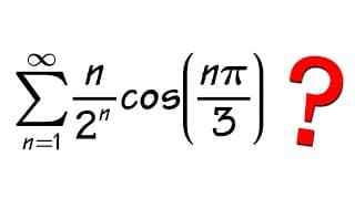
Sum of n/2^n*cos(n*pi/3) using complex numbers

We will see how to evaluate the infinite series of n/2^n*cos(n*pi/3) by using Euler’s formula 0:00 The trick is to use…

blackpenredpen
HomeTrendingExploreCreateSearch